资产定价的基本原理
全文4950字,阅读约需9分钟
嘉实财富高级研究员 谭华清博士

希望我们每个投资者都能建立合理的分析框架。而现金流贴现模型的正确理解是这个工作的开始。祝愿大家投资愉快!
——写在前面的话
一、现金流贴现模型是资产定价的核心
资产价格每天都在波动。有时候像浪花,有时候像潮汐。200多年来,一代又一代的智者付出了自己的智慧和思考,试图寻找到资产价格波动的奥秘。有一个模型自从提出来之后,始终占据投资者分析图谱中最核心的位置。它就是现金流贴现模型。
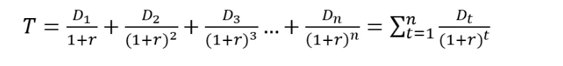
现金流贴、现模型的基本表达式如下图所示:

图1 现金流贴现模式是生息资产定价的基石
根据不同资产的现金属性,该等式会有不同的变化。主要变化集中在现金流属性、存续期长短、折现率含义等上面。我们可以把现金流属性、存续期、折现率称之为定价三因子。应用该模型需要注意的地方。如果股票不上市,那么所投股票的价值就应该满足现金流贴现模型。类似的,所有的资产,如果不是上市交易的话,其价值就应该等于该资产在存续期内提供现金流的现值之和。但有了上市交易这个场景,资产价格变得更加不稳定,因为不同交易者所面临的信息不同,解读结论不同,对资产价格前景的预期就会不同,于是就有交易价格。这个交易价格可能会高于资产价值,也可能会低于资产价值。是高于还是低于,这个判断也是主观的,并非有一个客观的标尺。这就是投资的难度。

图2 股票资产的现金流贴现模型
注:D为每期的现金流,r为折现率,n为股份公司的存续期。

股票资产的现金流贴现模型,最重要的变化是现金流的属性。抛开交易因素,投资股票应该就是投资企业的股权。企业的股权是一种剩余分配权益。享受公司在支付所有成本和利息之后的净利润的分配。因此股票资产的现金流贴现模型上的现金流原则上应该等于公司的净利润。既然股票资产的现金流贴现模型中,分子项是企业的净利润,那么它自然是波动的。不同企业利润的稳定性和增长性是不同的。这决定了不同企业的股票价值是不同的。
其次,对于股票而言,该模型的N是一个很重要的但容易被我们忽略的变量。该变量表示的是企业的存续期。被人们忽略是因为,大多数投资者投资股票的持有期限是比较短暂的,不需要考虑企业的存续期问题。但对于长期投资者而言,不得不考虑企业在未来还能活多久的问题。巴菲特在新冠疫情期间决定底部砍仓航空公司,其基本的逻辑是,由于对新冠疫情的后续演绎非常不确定,他不知道航空公司在未来还能不能活下来。按照巴菲特的原话,他不知道,未来人类还是否需要飞机。
最后,股票资产的折现因子也具有特殊性。对于股票而言,r=Rf(无风险利率)+ERP(股权风险溢价)。Rf衡量的是无风险利率,一般而言用十年期国债收益率作为代替。很显然这个利率受到了货币政策,经济景气度的影响。ERP(股权风险溢价)衡量的是投资者愿意接受多高的预期收益率来投资股市。很显然,该指标能反映投资者的风险偏好。如果股权风险溢价过高,说明风险偏好较低。但该指标是整个模型中比较艺术的部分,因为投资者的情绪是不可捉摸的,也很难预测。资产定价模型中的折现率本质上是投资股票资产的一种机会成本的衡量。我们投资股票资产的收益率至少要等于r,否则我没有必要投资股票。
结合上述分析,我们可以概括一下(图2),分析股票资产的核心要点,最重要的是盈利大小及其增长,其次是无风险利率,其次是风险偏好。

图2 股票价值定价三因子
债券资产的定价也适用现金流贴现模型。但是债券资产的定价三因子都有自己的特征。

图3 债券资产的现金流特征
首先,现金流特征上,债券资产获得的是票面利息和末期的本金。大多数债券的票面利息是固定的,在购买债券之前已经约定好了,比如票面利率的5%。其次,现金流的时间分布上也有特征。在债券到期前的每一期都是相同的且占比较小的利息现金流。债券到期末期是本金+最后一起利息。也就是说,总体现金流中的大头是最后一期的本金,前面的都是小头。因为这样的时间分布结构,给予了庞氏骗局的机会。所以,在借债的时候,对方资质和信用是做关键的。否则的话,容易陷入“你盯着别人的利息,别人盯着你的本金”的陷进之中。
其次,债券资产的现金流的存续期通常都是提前确定了的,通常会少于10年。因为时间越久,我们对借债人的资质越高。事实上,只有少数主体能够发行超过10年的债券。比如主权政府,大型银行等。

最后,债券资产的折现率就是无风险利率Rf。可以认为,Rf是投资债券的机会成本。
正如债券资产具有以上这些特征,所以在分析债券资产时,最重要的分析是违约风险和Rf的走势。因为利息和本金都是已经确定的。只有违约风险和无风险利率是会变的。
房地产资产的定价也可以按照现金流贴现模型去理解。

图4 房地产的现金流特征
房地产现金流也有自身的特征。地产资产的现金流本质上是租金,并不存在像债券那样归还本金的问题。租金的回收率具有较高的保障。租客一个月不交租金,房东将有权没收其押金,并将寻找新的租客。只有在经济危机时,大面积的租客违约,长时间找不到租客的现象会存在。此时对地产的价格会造成较大的冲击。与此同时,我们看到,租金还具有增长特征。虽然增长的速度较慢,但整体上是增长的。一般而言,租金的增长和通胀的幅度基本相当。因此房地产也是一个抗通胀的资产。
房地产的存续期也很长,比大多数企业还要长。房产建好之后,一般可以存续数十年,甚至百年。房地产现金流的折现率也可以用无风险利率。这一点和债券没有太大的区别。
基于此,分析地产的价值主要分析的点是租金率和租金的增长,其次是无风险利率低变化。因为地产是长久期资产,所以无风险利率的变化对地产的价值影响较大。所以一般而言,降息会推升房价。
股票、债券、房地产的定价原理都可以用现金流贴现模型,区别是现金流的属性、存续期的特征、以及折现率的内涵。表1罗列了三类资产定价上的主要区别。
表1 综合对比三类资产的定价


二、非生息资产的定价原理
上文我们主要讲的是生息资产的定价原理。所谓生息资产,就是投资该资产,是会产生新的现金流的,不论这个现金流是净利润,还是利息,还是租金,本质上是一种生息资产。但是在现实世界中,还有很多资产是不生息的。比如黄金,原油,农产品等大宗商品。这些资产如何分析?他们的定价原理是什么?
1.黄金的本质是国际储备货币
黄金本质上是一种特殊的货币。虽然各国都明文规定,日常经济交易中不允许使用黄金,但是全世界主要央行都大量持有黄金,普通民众也有收藏黄金的习惯。因此,从本质上,黄金依然是一种特殊的货币,而且是实物货币。因为黄金在全球是通用的,各国央行都承认的。所以它也是国际储备货币。这样的话,它就成了美元的竞争对手。
货币的价值在于提供流动性。但黄金只能在特殊时候提供流动性,比如战乱,恶性通胀的时候。这限制了黄金的价值。我们从黄金是一种实物国际储备货币的角度去理解黄金的价值。既然是实物货币,而且黄金的新增供应是稀少的。所以可以认为黄金的价值是基本稳定的。我们可以从黄金作为美元的竞争对手的角度判断黄金的价值。
我们假设T=0期 黄金的价格为1000美元/盎司,同期通胀指数为1。T=10期后,通胀指数为1.10,也就是说,物价水平上涨了10%。由于黄金是实物货币,假定这一期间黄金的供给没有增加,那么T=10期,黄金的价值应该等于T=0期的黄金的价值。也就是说,T=10期,黄金的美元价格应该和T=0期的美元价格。那么T=0的美元价格在T=10期为1100美元。所以黄金在T=10期为1100美元。从这个意义上将,黄金是一个零息债券,生息率和通胀率相等。
表2 黄金可以认为是零息债券
|
T=0 |
T=10 |
|
|
黄金 |
1000美元/盎司 |
1100=(T=0期的1000美元) |
|
通胀 |
1 |
1.10 |
2.其他非生息资产的定价主要看供给和需求
对于原油、焦炭、农产品等大宗商品的价格,他们的价格主要受供给和需求影响。分析这些资产的框架基本建立在经济学的供给需求框架上。把影响供给和影响需求的因素确定好,并且明确每一个因素的重要性。然后结合具体的时空背景,具体分析哪些变量会成为主导变量,进而得到分析结论。
表3 影响原油价格的供求因素
|
供给 |
需求 |
|
|
原油 |
OPEC+;美国页岩油;中东地缘政治;开采技术 |
全球经济景气度;能源技术的变化 |
以原油为例,原油价格完全由于原油的供给和需求决定。在需求比较稳定的时候,供给的变化起主导作用。通常而言,原油的需求基本稳定,所以原油价格的波动主要来自供给侧。这些因素包括OPEC+的会议精神;美国页岩油的开采情况;地缘政治对中东产油国的影响等等。需求方面在特殊时候会产生影响。比如2020年新冠疫情以来,全球的航线大幅锐减,整个原油的需求大幅下降,原油价格曾经一度跌破20美元/桶。除此之外,原油的长期需求还受到了绿色能源技术发展的威胁。

由于影响原油价格的变量很多,而且很多关键变量还和政治挂钩。这对于很多普通投资者而言,这是很难把握的。穷其一生可能也很难成为一个中东问题专家。所以通常情况下,不建议大家战略性配置这些关键变量不可控不可测的资产。
三、资产定价分析案例
万变不离其宗。我们只要掌握了资产定价的基本原理,在分析资产价格的时候才能有的放矢。
以股票为例,任何事件或者变化的发生,我们要追问的三个问题是:它是如何影响企业的盈利及其增长;它是如何影响无风险利率;它是如何影响风险偏好。
我们以降准对股票市场影响为例加以说明。央行降准后,按照刚才的思路,我们应该问:该政策会影响企业盈利吗?会影响无风险利率吗?会影响风险偏好吗?其他政策、变化都可以沿着这样的思路去思考。

图5 降准对股市的影响
由于降准后,原本以一部分准备金储存的资金得以释放,这会产生新的货币供应量。与此同时,银行通过便宜的准备金置换MLF,银行端的负债成本降低,这有助于银行资产端的利率要求,从而达到降息的目的。
因此,降准会有助于降低企业融资成本,提高盈利,促进盈利的增长;降准降低了银行端的成本,无风险利率或有降低。降准引发更大的宽松预期,无风险利率还可能会进一步降低。按照上述分析,降准后,股票市场会上行。但降准最终能否带来股票市场的上涨,还要看同一时间是否有发生其他的负面消息,负面效果超过了降准的正面效果。如果是,则降准后,股票市场还可能会跌。

四、总结
资产定价的模型会层出不穷,但现金流贴现模型可以称之为资产定价模型的基石。对于股票、债券、地产等生息资产,基本都适用现金流贴现模型,核心的区别在于现金流的属性、存续期的特征、以及折现率的内涵。而这也是核心的“定价三因子”。非生息资产主要应用供求框架。对这些模型和框架的深刻理解,是我们认识资产价格的基础。对于投资者而言,重点是关注生息资产的定价原理。因为我们的财富主要配置的方向,也是为投资者创造回报的最重要的部分。
